Urban Green Space Dynamics Amid Urbanization
🔍 The Battle for Green Space in a Growing City
Imagine a city growing so fast that its green spaces—parks, forests, and farmland—are disappearing under concrete and steel. This is the story of Kunming, China, a city that has experienced rapid urbanization over the past few decades. But it’s also a story of hope, as local governments have implemented policies to bring green spaces back into the urban landscape. In our recent study, we set out to understand how these two forces—urban growth and greening policies—have shaped Kunming’s green spaces from 1992 to 2009. What we found reveals both the challenges and opportunities of balancing development with environmental sustainability.
🛠️ How We Studied the Green Space Changes
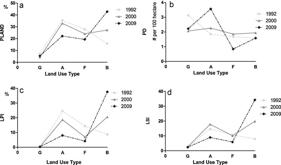
To track the changes in Kunming’s green spaces, we used a combination of satellite imagery, landscape analysis, and field surveys. Think of it like taking a time-lapse photo of the city over 17 years, but instead of just pictures, we measured the size, shape, and distribution of green spaces. We divided the city into concentric rings (like the layers of an onion) and directional transects (like slices of a pie) to see how green spaces changed in different parts of the city.
We focused on three types of green space: forests, farmlands, and grasslands. Using advanced tools like FRAGSTATS, we calculated metrics like patch density (how fragmented the green spaces are) and landscape shape index (how complex their shapes are). This allowed us to see not just how much green space was lost or gained, but also how its structure changed over time.

📊 What We Found: A Tale of Loss and Recovery
Our analysis revealed a dramatic transformation of Kunming’s landscape. From 1992 to 2009, the city’s built-up area expanded by over 27%, swallowing up large swaths of farmland and forests. Agriculture land was hit the hardest, especially in the outer rings of the city, where urban sprawl fragmented once-continuous fields into smaller, isolated patches. Forests also declined, but at a slower rate, thanks to their location in more remote areas.
However, there’s a silver lining. Grasslands, which include parks and recreational areas, actually saw a slight recovery in the 2000s. This was largely due to greening policies that prioritized the creation of urban parks and community gardens. For example, a new golf course in the northeast direction helped boost grassland coverage in that area.

One of the most striking findings was the spatial variation in green space changes. In the city center, small patches of grass were added, diversifying the urban core. But in the middle rings (belts 3 and 4), intense urbanization led to a significant loss of diversity, as farmland and forests were replaced by buildings. Meanwhile, the outer rings saw a gradual encroachment of urban areas into forested zones, though some areas, like the Xishan Mountain region, remained untouched.
đź’ˇ What This Means for the Future
Our study highlights the dual pressures of urbanization and greening policies on urban green spaces. While rapid development has led to significant losses, targeted greening efforts can help mitigate these impacts. For example, the recovery of grasslands in the 2000s shows that policies like urban park development can make a difference.
Looking ahead, we believe that cities like Kunming can strike a balance between growth and sustainability by:
- Protecting key green spaces: Areas like forests and mountains should be preserved to maintain biodiversity and ecological health.
- Integrating green spaces into urban planning: New developments should include parks, gardens, and green corridors to enhance residents’ quality of life.
- Monitoring changes over time: Regular assessments using tools like remote sensing can help cities track the effectiveness of their greening policies.
Ultimately, our research underscores the importance of understanding the spatial and temporal dynamics of urban green spaces. By doing so, cities can navigate the challenges of urbanization while creating healthier, more sustainable environments for their residents.
